Căutați ceva anume?

luni, 12 august 2013

Cât de asemănătoare poate fi o elice circulară cu o dreaptă

Elicea circulară este singura curbă care are curbura şi torsiunea constante. Ea se înfăşoară în jurul unui cilindru drept caracterizat de o anumită circumferinţă şi o anumită înălţime. În funcţie de aceşti doi parametri, elicea este mai mult sau mai puţin alungită, mai mult sau mai puţin groasă. O elice foarte alungită se înfăşoară în jurul unui cilindru de înălţime mare, iar o elice foarte groasă se înfăşoară în jurul unui cilindru de circumferinţă foarte mare.


Desigur, elicea circulară este o curbă nelimitată şi tocmai de aceea şi cilindrul pe care se înfăşoară ea va fi de asemenea nelimitat. Cu toate acestea, putem defini fără probleme înălţimea cilindrului ca fiind distanţa dintre două spire consecutive ale elicei circulare. Asta în ipoteza în care ştim ce este o spiră a elicei circulare. Dacă totuşi avem nevoie de o definiţie mai precisă a spirei elicei, atunci putem spune riguros că spira elicei circulare este porţiunea dintre cele mai apropiate două puncte de pe curbă în care tangentele la elice sunt paralele.


Aşadar, ştim ce este o spiră şi ştim că elicea circulară se înfăşoară în jurul unui cilindru drept de o anumită circumferinţă şi o anumită înălţime. Vrem acum să vedem ce se întâmplă cu elicea circulară dacă modificăm parametrii cilindrului pe care ea se înfăşoară. Mai exact, am vrea să ştim cam cum ar trebui să modificăm aceşti parametri astfel încât elicea circulară să se apropie cât mai mult de o dreaptă, să semene cât mai mult cu o dreaptă.


Pentru aceasta să acţionăm independent întâi asupra circumferinţei cilindrului, apoi asupra înălţimii sale. Haideţi, pentru început, să mărim foarte mult circumferinţa cilindrului. Ce se va întâmpla cu elicea circulară dacă mărim foarte mult circumferinţa? Dacă mărim foarte mult circumferinţa cilindrului, atunci un orice porţiune de pe suprafaţa cilindrului va începe să semene din ce în ce mai mult cu o porţiune dintr-un plan, curbura cilindrului şi implicit a elicei devenind din ce în ce mai mică. Prin urmare, mărind circumferinţa cilindrului, forma elicei se apropie din ce în ce mai mult de forma unei drepte. Iată deci un prim caz în care elicea seamănă foarte mult cu o dreaptă. Cât de mult? Oricât de mult vrem. Ba chiar atât de mult, încât să nu avem la dispoziţie nici un mijloc prin care să putem distinge elicea de o dreaptă. Altfel spus, există o limită superioară pentru circumferinţa cilindrului elicei dincolo de care elicea circulară poate fi considerată o dreaptă. Dar şi reciproc, orice dreaptă poate fi considerată astfel o elice circulară de circumferinţă suficient de mare, neexistând niciun criteriu practic prin care să putem distinge fără dubiu între o dreaptă şi o elice circulară de circumferinţă suficient de mare.


Oare mai există asemenea cazuri în care elicea circulară seamănă foarte mult cu o dreaptă? Da, mai există asemenea cazuri. Bunăoară, să analizăm acum cazul în care circumferinţa cilindrului elicei este de data aceasta extrem de mică. Ce se întâmplă în acest caz? Păi, în acest caz cilindrul devine extrem de subţire, atât de subţire, încât elicea circulară ce se înfăşoară în jurul unui asemenea cilindru începe să semene din ce în ce mai mult cu axa cilindrului respectiv, care este evident o dreaptă. Practic, există o limită inferioară a circumferinţei sub care nu mai putem face distincţie clară între elicea circulară şi axa cilindrului şi ajungem să le confundăm datorită apropierii dintre ele. 


Ambele cazuri analizate mai sus au fost independente de valoarea înălţimii cilindrului elicei. Indiferent ce valoare fixată (foarte mică sau foarte mare) ar avea înălţimea cilindrului, există o limită superioară şi una inferioară pentru valoarea circumferinţei, dincolo de care elicea circulară nu poate fi deosebită de o dreaptă. Reciproc, tot ceea ce pare a fi o dreaptă ar putea fi la fel de bine de fapt o elice circulară înfăşurată pe un cilindru de rază extrem de mare sau extrem de mică.


În fine, mai există un caz în care nu putem spune dacă este vorba despre o elice circulară sau despre o dreaptă: cazul în care înălţimea cilindrului este enormă. În acest caz, orice valoare ar avea circumferinţa cilindrului, elicea circulară face un unghi foarte mic cu axa cilindrului şi putem alege o valoare atât de mare pentru înălţimea cilindrului, încât practic să nu mai putem observa vreo valoare nenulă pentru unghiul elicei şi în consecinţă să nu mai putem distinge dacă privim o elice sau privim o dreaptă.

Cazul elicei de înălţime foarte mică este irelevant, căci nu putem confunda o asemenea elice cu o dreaptă în toate cazurile. Mai exact, chiar dacă înălţimea elicei este nulă, pentru circumferinţe mici se observă deosebirea clară dintre elicea circulară (devenită tocmai cerc) şi o dreaptă.


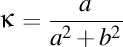
De altfel, toate raţionamentele noastre anterioare sunt sintetizate în formula care ne dă expresia curburii elicei circulare în funcţie de raza a a cilindrului şi pasul (barat) b al acestuia.

  .

Mai exact, ştiind că o dreaptă are curbura nulă, este suficient să observăm că pentru valorile foarte mari sau foarte mici ale circumferinţei, respectiv, pentru valori foarte mari ale înălţimii, curbura elicei circulare tinde spre zero. 


Astfel, avem cele trei cazuri relevante:

-1). Cazul circumferinţei foarte mari, deci cazul în care a tinde la infinit. Numesc acest caz, cazul elicei groase.

  .

-2). Cazul circumferinţei foarte mici, deci cazul în care a tinde la zero. Vorbim astfel despre elicea subţire.

  .

-3). Cazul înălţimii foarte mari, deci cazul în care b tinde la infinit. În acest caz spun că este vorba despre elicea înaltă (lăsând loc pentru a numi elice scurtă pe aceea a cărei spiră este scurtă şi elice scundă pe aceea a cărei înălţime este mică, cele două tipuri de elice posibile nefiind identice (elicea scundă nu este neapărat şi elice scurtă)).

  .

Aşadar, dragii mei cititori, elicea foarte groasă sau foarte subţire sau foarte înaltă poate fi confundată uşor cu o dreaptă. Şi reciproc, pentru orice presupusă dreaptă trebuie să fim conştienţi de posibilitatea noastră de a ne înşela în privinţa ei, având mereu prezent în minte dubiul că s-ar putea ca "dreapta" din faţa noastră să fie de fapt tocmai o elice circulară (foarte groasă, foarte subţire sau foarte înaltă). Şi atunci, dragi cititori, cât de justificat vi se mai pare principiul actual al inerţiei care spune că un corp liber se deplasează rectiliniu? Cât de siguri putem fi pe extrapolarea făcută de Galilei când a studiat corpuri aruncate pe suprafeţe din ce în ce mai netede, extrapolare pe care o mai menţinem încă şi astăzi fără rezerve? Nu cumva corpurile lui se deplasau de fapt mai degrabă pe elice circulare (foarte groase sau foarte subţiri sau foarte înalte) decât strict, strict rectiliniu?

34 de comentarii:

  1. Ce nu se înţelege cu claritate din cele expuse aici este: ce forţe determină mişcarea pe o traiectorie elicoidală? Care este cauza acestei mişcări? Este această traiectorie acceptată doar ca ipoteză? În acest caz ce am avea de câştigat în înţelegerea universului? Care vor fi efectele inerţiale, ştiut fiind că orice mişcare circulară le implică?

    RăspundețiȘtergere
  2. Mulţumesc nespus pentru implicarea ta şi în acest subiect! Este foarte important ca tot mai mulţi oameni inteligenţi să se iniţieze în Fizica elicoidală.

    Desigur, întrebările tale sunt foarte bine justificate. E şi normal să încerci să găseşti o punte de legătură între cunoştinţele noi şi cele vechi.

    Îţi voi răspunde în ordinea în care ai pus întrebările.
    -"Ce nu se înţelege cu claritate din cele expuse aici este: ce forţe determină mişcarea pe o traiectorie elicoidală?"
    Din moment ce este mişcare inerţială, este o mişcare naturală, deci fără intervenţia forţelor. Asta spune principiul elicoidal al inerţiei: în absenţa forţelor (corpuri libere) curbura şi torsiunea (echivalent, lancretianul şi darbuzianul) traiectoriei se conservă, păstrându-şi constante valorile. Forţele, dimpotrivă, modifică valorile lancretianului şi darbuzianului. Reciproc, orice cauză care modifică lancretianul şi darbuzianul este numită forţă (lancretiană, respectiv, darbuziană).

    Aşadar, în Fizica elicoidală nu doar modulul vitezei (impulsului) pe traiectorie se conservă pentru un corp liber, ci şi lancretianul şi darbuzianul traiectoriei (lancretianul condiţionează modulul şi direcţia vitezei, iar darbuzianul condiţionează masa corpului, ambele condiţionând deci impulsul corpului). În plus, în Fizica elicoidală tot forţe sunt şi cele care modifică lancretianul şi darbuzianul, nu numai cele care modifică modulul vitezei.

    Dacă vrei, se poate spune că Fizica elicoidală, prin acest nou principiu al inerţiei, leagă impulsul corpului de forma traiectoriei, concretizând prin aceasta că masa este dată de darbuzian.

    -"Care este cauza acestei mişcări?"
    Cauza mişcării pe o elice circulară este libertatea corpului. Corpul se mişcă pe o traiectorie cu lancretian şi darbuzian constant pentru că este liber. Altfel, lancretianul (corespunzător vitezei) sau darbuzianul (corespunzător masei) se modifică.

    -"Este această traiectorie acceptată doar ca ipoteză?"
    Aşa cum dreapta este o ipoteză a principiului actual al inerţiei, aşa elicea circulară este o ipoteză a principiului elicoidal al inerţiei. Dintre cele două, elicea circulară mi se pare mai firească decât dreapta. Este mai firesc să presupun că un corp liber se deplasează pe o curbă de lancretian şi darbuzian constant decât pe o curbă de lancretian nul şi darbuzian nedeterminat.

    -"În acest caz ce am avea de câştigat în înţelegerea universului?"
    Perspectivele experimentale pe care ni le deschide Fizica elicoidală. De exemplu, Fizica elicoidală ne spune că masa este proporţională cu darbuzianul traiectoriei. Aşadar, avem cel puţin perspectiva copleşitoare de a putea modifica masa după dorinţă, modificând darbuzianul.

    -"Care vor fi efectele inerţiale, ştiut fiind că orice mişcare circulară le implică?"
    Forţa centrifugă care apare în mişcarea "circulară" se datorează faptului că acel corp este de fapt abătut de la mişcarea pe elicea circulară pe care s-ar fi deplasat dacă ar fi fost liber. Elicea circulară pe care ar dori să se deplaseze un corp macroscopic de masă mare are darbuzianul uriaş, deci raza de curbură şi de torsiune infime. Unui darbuzian uriaş îi corespunde o lungime a spirei extrem de mică; aşadar, cercul pe care rotim noi corpul nu este traiectoria pe care s-ar deplasa corpul liber, motiv pentru care corpul se opune unei astfel de mişcări.

    RăspundețiȘtergere
    Răspunsuri
    1. Bine, dar, din fenomenele cunoscute şi inexplicabile în baza fizicii clasice, există măcar unul care să fie explicat prin mişcarea elicoidală?
      Din câte ştiu, doar particulele încărcate electric se mişcă, în lungul liniilor de forţă ale câmpului magnetic, pe o traiectorie spirală (cu pasul dependent de intensitatea câmpului). Există şi alte situaţii în care particulele să se deplaseze pe traiectorii elicoidale? Eu ştiu că nu.

      Este un fapt dovedit, că natura alege totdeauna calea cea mai simplă în manifestările ei şi traiectoria elicoidală are puţine şanse să fie reală, căci linia dreaptă este calea cea mai simplă (în absenţa oricărei acceleraţii).

      Dacă spui că mişcarea elicoidală este firească şi nu implică apariţia forţelor de inerţie, de ce totuşi aceste forţe apar în cazul traiectoriilor circulare şi chiar spiralate?
      Totuşi o cerinţă similară deduce (propune) şi prof. Ioan N. Popescu în „teoria gravitovortex” susţinând că mişcarea într-un vârtej nu implică apariţia forţelor de inerţie, fiind o mişcare firească, ca şi în cazul TRG în care corpurile se mişcă pe nişte geodezice definite de curbarea spaţiului în vecinătatea maselor (grele). Dar e mai plauzibilă mişcarea cu vârtej, din jurul corpurilor ponderabile cu rotaţie, decât mişcarea pe o spirală, propusă de tine. Trebuie să găseşti mai multe corespondenţe în plan experimental ca să poţi convinge.

      În ce priveşte teoria ing. Dan Preda, este o tâmpenie manifestă. Fără matematică orice teorie se reduce la pălăvrăgeală şi aberaţii. Ca să nu mai vorbesc de Oreste, care le ştie pe toate, dar îşi schimbă mereu convingerile după interlocutor. Cred că asemenea emisiuni au rolul de a tâmpi populaţia. Poate fi o diversiune ocultă această emanaţie de tâmpenii a televiziunilor pentru a scădea nivelul creativ al neamului. Ca să te păstrezi tu însuţi şi să-ţi formezi o imagine corectă despre ştiinţă citeşte cât mai mult (exclusiv) părerile unor oameni de ştiinţă recunoscuţi pentru realizările lor.

      Avansul ştiinţei imită devenirea lumii, adică evoluează de la simplu la complex, iar teoriile generale trebuie să le includă pe cele anterioare, regăsindu-le ca pe nişte cazuri particulare (în cazul devenirii materiei totdeauna Generalul include Particularul şi asta de la Esenţă spre Totul Absolut).
      Nu poţi desfiinţa tot sistemul fizicii pentru a clădi fizica pe alte baze, care nu se regăsesc în experienţele precedente.

      Ștergere
    2. "din fenomenele cunoscute şi inexplicabile în baza fizicii clasice, există măcar unul care să fie explicat prin mişcarea elicoidală?"
      Feynman spunea că cea mai importantă problemă nerezolvată a Fizicii clasice (pe care, bineînţeles, n-a rezolvat-o nici Fizica cuantică) este problema turbulenţei. Din punctul meu de vedere, principiul elicoidal al inerţiei aduce posibilităţi suplimentare pentru a explica turbulenţa. De exemplu, un prim indiciu este faptul că atât turbulenţa are legătură cu forţa de frecare, cât şi modificarea formei traiectoriilor. Mai exact, forma traiectoriilor nu poate fi modificată de forţa tangenţială de frecare, ci numai de forţe perpendiculare pe traiectorie. De asemenea, turbulenţa apare atunci când forţa motoare depăşeşte forţa de frecare, deci atunci când se pot manifesta forţele perpendiculare pe traiectorie.

      Problemele pe care le ridici mai apoi se rezolvă dacă îţi aminteşti că darbuzianul corpurilor macroscopice este uriaş, ceea ce înseamnă că lungimea unei spire a elicei circulare este invizibilă cu ochiul liber, ceea ce înseamnă că cu ochiul liber nu putem distinge dacă corpurile macroscopice se mişcă pe o dreaptă sau pe o elice circulară. Deci, orice afirmaţie despre forma corpurilor macroscopice bazată pe observaţii făcute cu ochiul liber este hazardată. Nu poţi verifica cu ochiul liber care este forma traiectoriei unui corp macroscopic. De exemplu, este foarte posibil ca anumite vibraţii resimţite la lansarea rachetelor să se datoreze de fapt tocmai formei elicoidale a traiectoriilor centrelor de masă. De asemenea, la problema cu apariţia forţelor în mişcarea circulară ţi-am răspuns deja.

      Eu consider că dovedit e faptul că natura alege nu traiectoria cea mai simplă (la urma urmei, cum defineşti simplitatea unei traiectorii, din moment ce darbuzianul dreptei este nedeterminat?), ci traiectoria care implică variaţii mai mici.

      Ai dreptate cu principiul de corespondenţă. Dar, din fericire, tocmai articolul pe care îl comentăm aici demonstrează că o Fizică a liniei drepte este un caz particular al Fizicii elicoidale. Fizica liniei drepte este Fizica elicoidală a traiectoriilor de lancretian nul.

      Ștergere
  3. Mi se pare mie că tu speculezi nişte situaţii la limită, posibile matematic. În definitiv, ce corecţii aduci teoriei lui Newton? Cum se modifică teoria restrânsă a lui Einstein prin aplicarea corecţiilor teoriei elicoidale?

    Până la un punct mişcarea pe spirale desfăşurate este o realitate. Spre exemplu, dacă sistemul solar se deplasează spre constelaţia Hercules cu viteza de circa 20 Km/s, atunci traiectoria unei planete în raport cu un punct exterior (ne-participant la această mişcare) este spiralată cu pasul egal cu 20 Km/s înmulţit cu perioada de revoluţie a planetei. Dar asta numai în raport cu acel punct din vecinătatea stelei Vega, către care Soarele se îndreaptă cu viteza menţionată. În raport cu Soarele orbita planetelor rămâne eliptică.

    Chiar şi în mişcarea de precesie a periheliului, traiectoria poate fi considerată elicoidală pe jumătate din conul de precesie, iar pe cealaltă jumătate traiectoria punctului de periheliu este tot elicoidală, dar cu sensul schimbat.

    Observatoarele astronomice au evidenţiat în spaţiul galactic uriaşe arce de lumină, dar nu o traiectorie elicoidală completă. Oricum, ele nu pot fi explicate în baza teoriilor actuale.

    Trebuie să evidenţiezi cu precizie ce se schimbă din fizica actuală prin introducerea acestui principiu (ipoteză) al mişcării elicoidale. Altfel rămâne doar o speculaţie matematică cu un titlu pompos ce pare a nu avea utilitate.

    RăspundețiȘtergere
    Răspunsuri
    1. Într-adevăr, toate frământările mele provin din matematică. Nu am avut posibilitatea să fac experimente pentru a-mi verifica raţionamentele. Totodată, nu m-am concentrat foarte mult să aduc corecţii teoriei newtoniene, ci m-am concentrat să trag concluzii generale, indiferent că ele confirmă sau infirmă vreo teorie actuală. Totuşi, pot spune că trebuie să corectăm puţin teoria relativităţii în aşa fel încât să nu poată exista decât observatori care se deplasează pe traiectorii reale, deci elicoidale. Altfel spus, dacă un corp se deplasează pe o elice circulară faţă de un anumit observator, atunci el se va deplasa tot pe o elice circulară (eventual, de alţi parametri) faţă de un alt observator inerţial. E o problemă sfântă şi valoroasă şi mă bucur că ai evidenţiat-o.

      Îmi place că remarci mişcarea elicoidală (nu spiralată, spirala fiind mai degrabă o curbă plană) în Univers. Dar consider că principiul elicoidal al inerţiei în sine evidenţiază clar schimbările.

      Probabil te-ai speriat de faptul că e greu de verificat forma traiectoriei unui corp macroscopic datorită darbuzianului mare, crezând că o asemenea dificultate ar face inutil orice experiment. Dar, desigur, poţi fi liniştit căci există o mulţime de fenomene pe care le prezice Fizica elicoidală şi pot fi verificate.

      De exemplu, traiectoria bilei din jgheabul lui AdiJapan. depinde de aria secţiunii jgheabului şi de lungimea acestuia, astfel încât pentru secţiuni mici şi jgheaburi lungi ar trebui ca la ieşire din jgheab bila să aibă o traiectorie vizibil diferită de cea de la intrarea în jgheab.

      O altă constatare experimentală ar putea fi cea legată de conservarea lancretianului şi darbuzianului într-un sisitem izolat în care corpurile componente ale sistemului trebuie să se mişte în aşa fel încât lancretianul şi darbuzianul total să se conserve.

      Apoi îmi mai amintesc de eliminarea singularităţilor. În Fizica elicoidală nu mai există singularităţi. Etcetera...

      Ștergere
    2. Dacă o situaţie este posibilă matematic, ea are şanse să existe şi în realitate. Modelul tău de fizică poate deveni util la scara mare a cosmosului (mai sus de supergalaxii) unde vom întâlni, cu siguranţă, turbulenţe. La scară mare galaxiile şi supergalaxiile pot forma turbioane, comportându-se ca şi moleculele unui gaz.
      Doar la acest nivel natura tinde să evite singularităţile (o tendinţă de conservare) pentru că la nivel galactic acestea există, deoarece observaţiile nu evidenţiază acumulări de substanţă oricât de mari. Deci există un prag dincolo de care corpurile sunt distruse prin colaps. Acesta este un principiu limitator, care impune structurii macrocosmice anumite valori spaţio-temporale. La fel se întâmplă şi în microcosmos. În absenţa unui astfel de principiu, universul s-ar fi prăbuşit în el însuşi, existând ca un continuu material. Acest principiu limitator şi singularităţile sunt o consecinţă a faptului că vitezele au ca limită în univers viteza luminii. Deci postulatul lui Einstein trebuie menţinut, chiar dacă sunt tendinţe de a-l elimina („teoria relativităţii absolute” a românului Florentin Smarandache).

      Ștergere
    3. Mă bucur că ai găsit o oarecare utilitate în modelul elicoidal. Fie ca timpul să-ţi permită să duci mai departe asemenea raţionamente şi să afli ceva interesant cu această nouă Fizică elicoidală.

      Ștergere
    4. Mă bucur că ai găsit o oarecare utilitate în modelul elicoidal. Fie ca timpul să-ţi permită să duci mai departe asemenea raţionamente şi să afli ceva interesant cu această nouă Fizică elicoidală.

      Ștergere
  4. Eu m-am lăsat furat de fizica gravitaţiei, iar teoria mea ar putea fi un prim pas spre „Teoria Finală”. De ce? Pentru că:
    1 - regăsesc în cadrul ei rezultatele teoriei generalizate a relativităţii ca pe nişte cazuri particulare (TRG rămâne valabilă doar la nivelul orbitei lui Mercur; de aceea s-a şi potrivit cel mai bine predicţia avansului de periheliu pentru Mercur);
    2 – regăsesc ca pe un caz particular şi mecanica invariantivă a prof. Octav Onicescu (masa scade cu viteza, iar la v=c masa se anulează);
    3 – deduc cuantificarea direct din teoria electromagnetică clasică, fără să mai fie nevoie de ipoteza lui Plank:
    4 – obţin prin calcul momentul cinetic real al Soarelui şi constanta de cuplaj specifică interacţiunii gravitaţionale;
    5 – aduc argumente din mişcarea observată că principiul echivalenţei este fals (în special din mişcările de precesie);
    6 – teoria mea prevede că un câmp gravitaţional variabil induce mişcare corpurilor aflate la mare distanţă, prin inducţie (de un tip special);
    7 – ca şi teoria gravitovortex, regăsesc (pe o argumentaţie diferită), că planetele se contractă în volum atunci când se apropie de Soare (în periheliul orbitei) şi se dilată când ajung în afeliu. Dilatarea-contracţia e mică, dar suficientă pentru a explica structurarea în plăci tectonice a planetei noastre;
    8 – energia suplimentară presupusă de teoria mea (care nu este de natură gravitaţională) este tocmai energia neagră, invocată de astrofizicieni;
    9 – modifică radical imaginea despre abisuri-negre (blak-holes), care devin mult mai complexe, cu un orizont al evenimentelor mult mai mare decât raza gravitaţională clasică şi cu posibilitatea lor de a emite materie (energie) prin zonele polare. Asta va ajuta la înţelegerea nucleelor de galaxii);
    10 – demonstrez pe alte baze că teoria relativistă (în sens restrâns) este validă, iar corecţiile specifice teoriei mele trebuie însumate cu cele relativiste pentru a obţine rezultate corecte;
    11 – relevă nişte minime argumente în ideea că rotaţia corpurilor antrenează un eter subtil, care umple tot spaţiul, acest vârtej eteric fiind perceput drept câmp magnetic (până la urmă şi experimentul lui Michelson şi Morley arată o deplasare faţă de eter, dar mai mică decât se aştepta, conform calculelor);
    12 – regăsesc necesitatea dilatării-contracţiei universului, dar prin existenţa unor unde gravitaţionale de mare perioadă (de ordinul a miliarde de ani lumină). Există şi unde de perioadă mai mică, emise de nucleele galactice, perioada celei specifice Galaxiei noastre fiind înscrisă în măsurile Marii Piramide;
    13 – prin constantele specifice teoriei mele şi înscrise în Marea Piramidă se înţelege la un alt nivel mesajul ei, care este unul ştiinţific, dar în acelaşi timp regăsirea acestor constante aici sunt şi o primă susţinere a premiselor teoriei mele. În structura dimensională a Piramidei este înscrisă şi valoarea produsului MG specific Galaxiei noastre şi încă foarte precis (MG=16,906649 înmulţit cu 10 la puterea 30);

    Sunt şi alte implicaţii şi, desigur, nici eu nu le văd pe toate, însă faptul remarcabil este acela că toate acestea sunt posibile în spaţiul euclidian, al celor trei dimensiuni fireşti;

    Aşa că fiecare pe drumul lui. Eu până acum nu am avut nevoie de ipoteza mişcării elicoidale, dar într-un univers infinit, undeva poate fi aplicată şi o astfel de fizică.

    Toate aceste căutări te fac să evoluezi spiritual şi am ajuns să cred că nu este imposibil ca într-o zi să aruncăm la coş toate teoriile şi să apucăm pe calea credinţei. Ceea ce am descoperit m-a convins că lumea este o Creaţie inteligentă, aşa cum spun miturile şi biblia, iar revenirea lui Iisus este mai apropiată decât ne închipuim.

    Numai bine!

    RăspundețiȘtergere
  5. Hmmmm... Frumoasă listă de consecinţe! Dar până nu-mi dovedeşti tot ce spui acolo, rămâne doar să te cred pe cuvânt. Şi sper că nu te-ai mulţumi să te cred pe cuvânt, ci eşti dispus să-ţi susţii teoria precum fac eu pe internet. Aşadar, unde pot găsi postulatele teoriei tale? Ai vreun blog pe undeva, unde să pot vedea postulatele din care tragi asemenea concluzii plauzibile?

    RăspundețiȘtergere
    Răspunsuri
    1. Legea actuală spune că pentru a căpăta drept de proprietate intelectuală asupra unei creaţii ştiinţifice, ea trebuie să apară într-o revistă de specialitate. Mai mult, pentru descoperirea ştiinţifică nu se acordă nici un drept (vezi linkul:

      http://www.petitieonline.ro/petitie/dreptul_de_autor_pentru_descoperirea_stiintifica-p05510042.html ).

      Pe de altă parte, conform normelor dictate de noua Uniune (antisovietică) Europeană, lucrările ştiinţifice vor fi publicate exclusiv în limba engleză. Sunt împotriva acestei măsuri şi, de aceea, mai aştept.
      ORICE CREAŢIE TREBUIE SĂ APARĂ ÎN LUME ÎN LIMBA ÎN CARE A FOST CREATĂ şi nu trebuie să ne dicteze nouă unii, care abia au apărut în istorie, ce să facem în ţara noastră.
      Ştiu că va începe un mare conflict mondial şi la scurt timp în România va fi revoluţie şi vom scăpa de jugul, care ni s-a pus de către occident. Apoi România va reveni la valorile străbune şi va intra în normal. Cu greu, dar ne vom reveni şi atunci voi face publice cercetările mele. Să fie pentru neamul nostru şi pentru limba română.

      Publicarea pe internet nu este o soluţie, deoarece pierzi controlul asupra lucrărilor, fiecare putând să se „adape” din ele, după cum voieşte, căci legea nu-ţi dă drept de proprietate asupra lor decât în modul arătat mai sus. Până atunci mă perfecţionez şi atac problema „funcţionării” galaxiilor, în baza a aceea ce am descoperit. Şi nu mă tem deloc că mi-o va lua altcineva înainte pentru că am confirmarea părintelui Arsenie Boca, cel care a spus că „semnele” cerurilor (aşa le-a numit Enoh) vor fi revelate din România.

      Pentru Dumnezeu, neam şi ţară!

      Ștergere
    2. Am înţeles că pentru tine este foarte importantă paternitatea ideilor tale. Ok, respect opinia ta, însă eu nu aştept acele vremuri ale dreptăţii. Pentru mine este mai important să vă dau vouă imediat din frământările mele (chiar şi incomplete) decât să-mi asigur paternitatea. Ştiu că voi sunteţi mai importanţi decât mine; şi cu cât vă dau mai repede ceea ce aflu, cu atât creşte probabilitatea ca voi să aplicaţi mai repede Fizica elicoidală, întru bunăstarea neamului meu şi a întregii omeniri. Ce zici, nu e un argument suficient pentru a-ţi publica azi ideile pe internet?

      Ștergere
    3. - Nu e nici un argument, deoarece lupta dintre neamuri nu va înceta niciodată. Şi acele neamuri vor învinge care vor avea mai multă moralitate şi credinţă. Celelalte se autodistrug prin degenerare. Iisus a spus că „slava şi puterea se va da neamului care va aduce roadele cuvenite”. Şi dacă luptăm pentru apărarea identităţii noastre naţionale avem şansa să fim noi „cei aleşi”. De aceea Sundar-Sing a spus că România va fi Noul Ierusalim pământesc.

      - Dacă ar fi folositoare cuiva, fi sigur că ţi-ar fi preluat ideile imediat. Dar sunt prea teoretice şi teoria de care vorbeşti nu are coerenţă, unitate, nu defineşti avantajul acestui mod de abordare în raport cu teoriile consacrate, nu ai susţinere în plan observaţional. Mai e de lucru la ea, dar poate ai început a vorbi despre ea pentru a te elibera de acest calvar al căutărilor, care ţi-au slăbit „bateriile istovite”, după cum scriai în alt topic. Asta e problema ta.

      - De care bunăstare a neamului tău vorbeşti? Câtă vreme capitalismul nu va fi desfiinţat nu este nici o bunăstare. Ce bunăstare poate fi aceea de a fi sluga altuia? Sau să pleci din ţară să fi exploatat de străini, când ţara ta ar trebui să-ţi ofere şansa de a lucra aici, în spaţiul strămoşilor tăi.
      Capitalismul este incompatibil cu lumea de mâine. Depăşirea crizei va orienta lumea spre alt gen de societate, una în care Omul şi Natura trebuie să se împace firesc, dincolo de minciuna „dezvoltării durabile”, de interesele da clasă şi de puterea efemeră a banilor.

      Ștergere
    4. Într-adevăr, scoţi la iveală problemele dure ale neamului nostru în raport cu hoţii care ne mulg în prezent. Doar că ele sunt efemere şi nu le-aş acorda prea mult timp, cu speranţa că există minţi luminate care se gândesc cum să stârpească asemenea duşmani nehaliţi. Deci, aceste probleme nu mă pot împiedica să-mi public ideile. Sunt de acord că nu capitalismul este soluţia optimă a societăţii şi visez şi eu la o societate bazată pe meritocraţie, condusă prin internet. Dar până atunci mai este şi fiecare dintre noi pune câte-o cărămidă la construcţia unei asemenea societăţi.

      Văd că eşti destul de categoric la adresa Fizicii elicoidale. Eşti chiar atât de sigur de ceea ce spui la adresa ei? Abia ai reuşit să înţelegi câteva frânturi şi deja ştii că teoria nu are "coerenţă, unitate"? Nu fi caraghios! Cât despre "bateriile-mi istovite", ele sunt astfel datorită pustiului din jurul meu în care mai apare ici-colo câte-o luminiţă precum ai apărut tu, luminiţă care chiar pune probleme interesante Fizicii elicoidale. Deci, ele nu sunt istovite pentru că nu aş mai avea idei. Ba, dimpotrivă, noianul de idei fundamentale ce vor zgudui din temelii întreaga Ştiinţă actuală nu mă lasă să mă concentrez la un singur lucru pe care să-l redactez pe înţelesul vostru, ci mă poartă pe meleaguri neumblate ce mă ţin cu respiraţia tăiată.

      Ștergere
    5. Calea cunoaşterii e o călătorie în necunoscut şi uneori eşti nevoit să emiţi ipoteze, care sunt un fel de punţi întinse spre Adevăr. Totul este ca ipotezele să fie simple şi de bun simţ. Obiecţia mea este că „nimicul”, din care susţii că evoluează particulele, nu este o denumire inspirată. De ce nu-i spui eter? Chiar Octav Onicescu arăta că spaţiul ar putea fi sediul mai multor eteri aflaţi în prezenţă, unii mai subtili decât alţii. Dar eterul este CEVA, pentru că - după cum arătam - CEEA CE ESTE, NU POATE FI REDUS LA NIMIC, oricât de mult l-am diviza. Asta se ştie încă din antichitate. „Micimea – scria Anaxagoras - nu cuprinde ceva care să fie cel mai mic, ci mereu există ceva care să fie şi mai mic. Căci este imposibil ca ceea ce există să înceteze de-a exista”.

      Ideea ta despre aceste „nimicuri”, care rămân nimic în repaus şi devin materie atunci când se mişcă foarte rapid, o avea şi Nikola Tesla. El însă numea această energie profundă, conţinută de spaţiul în sine, tot eter, arătând că „Eterul, atunci când este pus în mişcare, devine materie. O dată ce mişcarea se opreşte, eterul revine la starea sa normală. Apare astfel extraordinara posibilitate ca omul să poată să facă materia să apară şi să dispară, cu condiţia să aibă instrumentele potrivite pentru a iniţia şi a opri aceste vârtejuri de eter”.
      Eu personal sunt de acord cu această idee şi fluctuaţia vidului ar putea fi cauzată de turbioane în eter, care generează particule efemere. Acestea pot avea o viaţă mai lungă în vecinătatea unor particule mai mari, cum ar fi neutronii, protonii, electronii, care (posibil) au un miez alcătuit din unul sau mai multe abisuri negre.

      Dacă eşti sensibil la critici, nu-mi mai dau cu părerea. Să şti că teoriile rămân teorii şi nu există nici una terminată, pentru că sunt perfectibile şi cunoaşterea lumii încă nu a luat sfârşit. Devii mulţumit de o teorie după mulţi ani de lucru asupra ei şi poate nici atunci.

      p.s.
      Dacă te apasă pustiul din jurul tău, cumpără-ţi nişte capre.

      Ștergere
  6. Poţi să-l numeşti şi eter dacă vrei, cu condiţia ca el să aibă doar proprietăţile spaţiului. Iar exemplele din antichitate sunt supuse erorilor, mai ales că ei nu ştiau mai nimic despre infinit. E şi normal să crezi că din ceva prin divizarea ceva-ului vei obţine tot ceva din moment ce nu faci distincţia clară între finit şi infinit. Atunci când vei înţelege că de la finit la infinit este nevoie de o trecere, de un salt calitativ uriaş, atunci vei înţelege că divizarea la infinit a ceva-ului naşte nimicul. Şi reciproc, vei înţelege că lumea este o infinitate de nimicuri.

    Fii liniştit, nu sunt sensibil la critici, ci tocmai le caut, că doar de-aia investesc timp să dialoghez cu oameni inteligenţi. Dacă sunt sensibil la ceva, atunci sunt sensibil la afirmaţii grave şi nefondate, deloc argumentate. Ai făcut ditamai afirmaţia că Fizica elicoidală este incoerentă. Este o afirmaţie suficient de gravă încât să te cataloghez puţin caraghios. Probabil, cel sensibil eşti tu, din moment ce ai orientat discuţia în această direcţie neutră în loc să treci peste această scăpare a mea şi să vii măcar cu o jumătate de argument care să-ţi justifice teribila afirmaţie. Pune-mă la încercare, argumentează-ţi afirmaţia şi vei vedea cum creşti în ochii mei :) .

    Caprele ar rezolva, cu certitudine, problema stresului cotidian, dar n-ar umple hăurile cu oameni ce pot înţelege Fizica elicoidală. Deci tot pustiu ar fi în jurul meu...

    RăspundețiȘtergere
  7. Nici noi (modernitatea) nu ştim „mai nimic” despre infinit. Dar, am început al explora prin ipoteze.

    Nu am orientat discuţia în altă direcţie, ci am revenit la „fundamentul” pus de tine în prim plan: „o mulţime de nimicuri” care umplu spaţiul. Lanţul divizării materiei fiind infinit este de înţeles că pe măsura avansului divizării se obţin calităţi materiale noi (legea dialectică a transformării cantităţii într-o nouă calitate), dar extremele: materia şi esenţa sa infinit de subtilă, trebuie să fie identice. Deci prin diviziune nu se pierde materialitatea, dar nici complexitatea (legea identităţii opuşilor), existenţa rămânând ea însăşi.

    Acum, din punctul de vedere al observatorului finit, cele două extreme apar (se profilează) ca fiind de calităţi contrare: materia şi esenţa sa inefabilă (spaţiul în sine al lui Kant). Eu cred că opusul materiei este spiritul şi deci acel fond ultradiscret infinit de subtil are caracteristici spirituale. De aceea sistemul yoga îşi fixează atenţia în timpul meditaţiei asupra vacuităţii, acel hău deschis în faţa „eu-lui”, atunci când mintea este golită de concepte şi gânduri.
    Prof. Mihai Drăgănescu numea această profunzime a lumii materiale ortoexistenţă (existând în netimp) şi considera că va fi un operator util în ştiinţa viitoare. Şi asta din deceniul 8 al secolului trecut. Dumnealui însă îi atribuia proprietăţi mentale, sau ca fiind o verigă a mentalului.

    Aşadar, mental sau spiritual fiind, acel fond de materie profundă (fie şi infinit de subtilă) este CEVA şi este, doar din punct de vedere matematic (abstract), echivalent cu nimic. Şi nu cred că problema va fi clarificată prea curând, pentru că acea esenţă care transcende lumea nu se dezvăluie nouă, prin arsenalul instrumentelor fizice, ci numai pe căi spirituale.

    Tu numeşti materia profundă o „mulţime de nimicuri” doar pentru a evita legătura ei cu spiritul?
    Din materia profundă numai un Dumnezeu putea să creeze lumea, iar nişte fiinţe finite nu vor înţelege niciodată infinitul, copleşiţi fiind de paradoxuri.

    Eminescu a meditat şi el asupra acestor aspecte ale existenţei arătând că:

    „1. Diviziunea materiei la infinit este foarte sigură.
    2. Diviziunea materiei la infinit este nepricepută.
    3. Aşadar, sunt lucruri foarte sigure care sunt nepricepute.”

    Numai bine!

    RăspundețiȘtergere
    Răspunsuri
    1. Oricât de neintuitiv ar părea, dacă împarţi o pâine într-o infinitate de părţi obţii exact acelaşi nimic ca şi atunci când divizezi la infinit o ciocolată. Aşa că nimicurile sunt identice, "indiscernabile".

      Faptul că explic apariţia lumii din nimic nu înseamnă că aş considera lumea un nimic, pentru că nu pot desconsidera "saltul" infinit pe care l-a făcut lumea pentru a veni în existenţă. Deci, chiar dacă lumea este o infinitate de nimicuri, ea este totuşi ceva. În plus, dacă nu cred în ceva supranatural, nu înseamnă că neg existenţa a ceea ce numeşti tu "spirit". Spiritul nu este supranatural, aşa cum nici infinitul nu este supranatural; ele sunt doar "nepricepute" încă.

      Ștergere
  8. „Teoria gravitovortex” a lui Ioan N. Popescu sau „Mecanica invariantivă” a lui Octav Onicescu sunt teorii (infinit) mai documentate decât ipoteza ta, a mişcării elicoidale, şi nu prea se dau savanţii în vânt pentru ele, fiind privite cu reticenţă. Aşa că nu te aştepta să te ridice cineva în slăvi, doar pentru că ai avea dreptate. E şi politică în ce priveşte promovarea ştiinţei, dar, în general, asta e evoluţia unei idei de la autor spre conştiinţa lumii (dacă ea este adevărată şi nu este o aberaţie, acesta fiind un criteriu eliminatoriu). Goethe observase deja această evoluţie arătând că „Cine se ocupă cu ştiinţa, suferă întâi din cauza întârzierii, pe urmă din cauza anticipării. La început oamenii nu vor să recunoască nici o valoare celor ce le transmitem; iar pe urmă ei se poartă ca şi cum tot ce le-am transmite le-ar fi cunoscut”.

    Eu te sfătuiesc să laşi deoparte (deocamdată) ideea mişcării elicoidale (dacă îţi lipsesc dovezile observaţionale) şi să-ţi îndrepţi atenţia asupra teoriei gravitovortex, încercând să demonstrezi că în jurul corpurilor în rotaţie apare un vârtej de eter. Eu cred că în viitorul apropiat eterul va reveni în atenţia ştiinţei. Pentru că el există şi îşi face simţită prezenţa, chiar dacă prin efecte greu decelabile. Şi e nevoie de o susţinere a predicţiilor teoretice de practică şi experiment. Altfel, după cum tot Goethe observa, teoriile devin „precipitări ale unei minţi nerăbdătoare, care ar dori să scape de fenomene şi care, de aceea, introduce în locul lor imagini, noţiuni, ba adesea numai cuvinte”.

    Şi Goethe acesta o fi fost tot un pasionat de ştiinţă, care a eşuat în literatură. Prea le vede bine, nu-i aşa? Dar a fost un OM, iar oamenii se recunosc între ei, atunci când se întâlnesc. Napoleon Bonaparte făcea regulat inspecţia trupelor şi (se spune) cunoştea pe dinafară toţi oştenii şi numele lor. Odată s-a oprit în faţa unui recrut, l-a privit din cap până în picioare şi a exclamat: „Dumneata eşti un om”. Apoi şi-a continuat inspectarea. Cel numit OM era Goethe, încă înainte de a deveni celebru.

    Numai bine!

    RăspundețiȘtergere
    Răspunsuri
    1. Afirmând că teoriile altora sunt (infinit) mai documentate decât a mea, afirmi de fapt că teoria mea este slab (deloc) documentată; de parcă eu aş fi lansat teoria fără să am în minte un bagaj de cunoştinţe. Astfel, te înşeli încă o dată. Apoi, teoria gravitovortex a fost în atenţia mea şi nu mi-a schimbat convingerile, dar mi le-a consolidat. De asemenea, în tinereţe, când am aprofundat teoria relativităţii, am studiat şi mecanica invariantivă a lui Onicescu, deci Fizica elicoidală are în spate un fond bogat de idei. Asa că, dimpotrivă, ascultă-mi tu sfatul şi apleacă-ţi mintea mai mult asupra cuvintelor mele.

      Ștergere
  9. Tot aplecându-mi mintea (citind) cele ce scrie pe aici n-am terminat nici zugrăveala, caprele le-am ţinut la padoc (că a plouat) şi pe deasupra mi s-a afumat (puţin) şi bulionul de roşii. Aşa că m-am lăsat păgubaş. Deocamdată.
    Hotărât lucru, documentarea cere sacrificii. Sper să nu fie în van.

    La bună vedere!

    RăspundețiȘtergere
    Răspunsuri
    1. Va trebui să mă ierţi pentru toate relele pricinuite şi să speri că n-a fost în zadar. Vorba lui Edison: "n-am dat greş, ci doar am descoperit cazurile care nu funcţionează". Aşa că oricum eşti câştigat dacă aprofundezi Fizica elicoidală; în cel mai rău caz, vei putea descoperi că (ce) nu funcţionează. Cineva trebuie să analizeze şi această teorie, căci ea încă n-a fost analizată! Cine ştie ce surprize va naşte în mintea ta...

      Ștergere
  10. Ştiinţa e ca o femeie misterioasă şi de aceea naşte în mintea savanţilor (mai tineri) multe fantezii. Dar, în secret, femeia asta este şi curvă şi îi trădează tocmai când sunt pe punctul de a o poseda (uneori după ani de trudă şi renunţări). Atunci se trezesc din vis şi realizează că au alergat după o fata morgana. Aidoma alchimiştilor, îşi vor da seama că menirea ştiinţei e să ajute omul să se întâlnească cu spiritualul, căci, în realitate, ştiinţa supremă e Magia.

    RăspundețiȘtergere
    Răspunsuri
    1. Până la întâlnirea adevărată a Ştiinţei cu spiritualul (în maniera pe care o înţeleg eu) mai este o cale lungă de mii de ani. Aşa că ai face mai bine să te gândeşti treptat la obiective tangibile în viitorul apropiat. Nu poţi sări peste etapele obligatorii ca să atingi un asemenea obiectiv îndepărtat. Şi cu certitudine nu poţi sări peste Fizica elicoidală, căci Ştiinţa viitorului va fi elicoidală ("sau nu va mai fi deloc" :) ).

      Ștergere
    2. Fiecare cu obsesia lui. Eu cred că fizica viitorului va fi clădită pe „ipoteza diviziunilor universale”. Nu-i aşa că parcă ţi se pare cunoscută? Înseamnă că tocmai ai receptat o amintire din viitor.
      De fapt, toate teoriile noastre sunt construcţii efemere şi ele vor fi abandonate când omul va avea marea întâlnire cu Dumnezeu. Şi poate atunci se va întoarce la condiţia lui originară.

      Ștergere
  11. Desigur că poţi numi Fizica viitorului cum doreşti; dar ea oricum va fi echivalentă cu o Fizică a traiectoriilor care au lancretianul şi darbuzianul constanţi. Dar ce folos vezi tu în întoarcerea omului la "condiţia lui originară"? Ce plăcere aş mai găsi eu într-o lume fadă, în care nici măcar internet n-aş mai avea?

    RăspundețiȘtergere
    Răspunsuri
    1. Internetul e nimic pe lângă starea de iluminare pe care o aveau oamenii la începutul Timpului, stare în care un om poate fi pretutindeni, în viitor sau în trecut, la capătul universului sau în miezul profund al existenţei. Nimic nu-ţi va fi ascuns şi orice adiere de eter nu-ţi va fi indiferentă pentru că „eu-l” interior intră pe lungimea de undă a Sinelui Universal. În starea sa originară picătura de conştiinţă a omului nu era dezlipită de oceanul conştiinţei universale. Dar la un moment dat, legătura cu marea conştiinţă universală s-a rupt. De atunci omul rătăceşte, bâjbâind prin univers, după cunoaşterea pierdută. Uneori câte un înţelept (sfânt) regăseşte legătura cu sursa pentru a ne demonstra că este posibil.

      Ștergere
  12. Off, off, off, ce păcat să crezi în asemenea bazaconii! Acuma stau şi mă întreb dacă o minte care crede în aşa prostioare mai poate aprofunda Fizica elicoidală... Dragul meu drag, nu-ţi pierde vremea cu asemenea aberaţii! Este imposibil din punct de vedere logic ca omul să fi fost vreodată pretudindeni sau mai ştiu eu ce proprietăţi supranaturale să mai fi avut. Este imposibil! Şi chiar şi inutil! Şi chiar plictisitor! N-aş prefera o lume în care aş sti tot şi în care nu aş mai putea descoperi nimic.

    RăspundețiȘtergere
    Răspunsuri
    1. Bine. Rămâi în necredinţa ta. Unde îţi vor fi gândurile, acolo vei fi şi tu. Dar să nu te mai lamentezi că e pustiu şi sumbru.

      Numai bine!

      Ștergere
  13. Nu uita nicio clipă că-ţi doresc tot binele din lume şi-ţi mulţumesc pentru timpul pe care l-ai investit pe-aici. Sper că n-a fost în zadar pentru niciunul dintre noi.

    RăspundețiȘtergere
    Răspunsuri
    1. Acum dacă tot ne-am băgat în seamă, şi suferim amândoi de „virusul cunoaşterii”, ai idee cumva unde aş putea găsi cartea Iuliei Brânduşa Ciobanu „Aspecte relativiste ale modelării unor interacţiuni în câmp gravitaţional”? La editura Ars Academica, unde a fost produsă apare stoc epuizat.

      Ștergere
  14. Prefaţa şi cuprinsul (extrem de interesant) le-am găsit pe net. Cu restul, din păcate, nu te pot ajuta.

    RăspundețiȘtergere
    Răspunsuri
    1. Până la urmă dau eu de ea, dar şti cum e, trebuie citită în timp util.
      Numai bine!

      Ștergere

Comentariile vor fi moderate în măsura timpului meu disponibil, după care vor apărea pe blog. Voi încerca să public doar comentariile consistente sau interesante sau adevărate sau corecte sau la obiect. Voi căuta să le elimin pe cele din care nu avem nimic de învățat sau pe cele care afectează negativ mintea cititorului sau reclamele fără legătură cu blogul. De asemenea, voi face tot posibilul să răspund la comentariile care cer un răspuns. Vă mulţumesc pentru efortul vostru de a scrie în lumina acestor consideraţii!

Postări populare

Arhivă blog

Etichete

Persoane interesate